La comunicació a l'àmbit laboral
És impensable analitzar la relació entre els conceptes organització i comunicació i afirmar que no existeix un profund nexe entre ells, ja que no és concebible una organització sense comunicació.
La comunicació és la manera en què les persones es relacionen entre si i conjuguen els seus esforços. Per tant, podem conceptualitzar l’organització, entesa com a grup humà, com un sistema obert dotat d’una formació social complexa, en la qual es distingeixen les dimensions que la componen. Es tracta, per tant, d’un sistema de rols en el qual existeix coordinació comunicativa i xarxes de comunicació entre els diferents grups funcionals.
La comunicació és una activitat essencial de l’ésser humà; per tant, és de vital importància que aquesta interacció comunicacional sigui el més efectiva possible.
La comunicació des dels diferents models teòrics
Podem abordar la comunicació des de dues perspectives diferents. La primera seria des d’un model lineal, on l’emissor emet un missatge i el receptor el rep. Aquests van ser els primers intents d’estudiar el procés de comunicació i en aquest procés es van utilitzar models rectilinis en els quals es consideraven una sèrie de conceptes encadenats en una sola direcció i sentit. Autors com Laswell, Shannon i Weaver, entre d’altres, van formular que la comunicació és un procés de transmissió d’informació des d’un emissor fins a un receptor. La informació és el contingut del missatge enviat.
Laswell (politòleg), integrant de la Universitat de Chicago. La seva principal obra d’estudi són les Tècniques de propaganda (1927).
Aquest model lineal està pensat des d’una perspectiva tècnica de la comunicació. Quan aquest sistema es traspassa a les persones, se’n manifesten les mancances comunicatives, ja que és imprescindible la retroalimentació, que és el contingut essencial perquè es produeixi la comunicació.
Com a resposta a les teories del model lineal desenvolupades per aquests autors, apareixen el que es denomina la nova comunicació, que suposa abordar la comunicació des de la interpretació i la resposta per part del receptor quan rep el missatge. Aquesta concepció va ser estudiada pels autors més representatius de l’escola de Palo Alto com Gregory Bateson, Paul Watzlawick i Don Jackson. Les propostes d’aquests autors van confluir en una visió interdisciplinària de la comunicació, la qual cosa queda demostrat en la seva voluntat d’elaborar una teoria general de la comunicació humana que pogués ser aplicada en diferents contextos, incloent-hi la comunicació a les organitzacions.
Escola de Palo Alto (Califòrnia)
L’escola de Palo Alto (amb un nom de ressonància hispànica) és famosa a tot el món. Les seves aportacions a la investigació psicològica interessen una variada gamma de professionals: l’especialista en comunicació troba suggeridores orientacions en els treballs innovadors de Gregory Bateson, sistematitzats i perllongats per Paul Watzlawick.
Aquests nous fonaments teòrics s’estableixen de manera molt clara en els denominats axiomes de la comunicació (Watzlawick, Jacskon i Beavin, 1971). En l’obra Teoria de la Comunicació Humana, aquests autors estableixen els següents punts de partida per a l’abordatge de la comunicació:
- És impossible no comunicar, perquè en un sistema donat, tot comportament d’un membre té un valor de missatge per als altres.
- En tota comunicació es pot distingir entre aspectes de contingut o semàntics i aspectes relacionals entre emissors i receptors. Segons l’autor Paul Watzlawick, l’aspecte de relació (és a dir, el nivell emocional del missatge) és el més important dels dos.
- La definició d’una interacció està sempre condicionada per la puntuació de les seqüències de comunicació entre els participants. És a dir, cada comunicació es desenvolupa en fases i està sotmesa a una classificació que ens donarà una interpretació de la comunicació.
- Tota relació de comunicació és simètrica o complementària, segons si es basa en la igualtat o en la diferència dels agents que hi participen, respectivament.
La formulació d’aquests axiomes trenca la visió unidireccional o lineal de la comunicació. Els axiomes marquen l’inici per comprendre que la comunicació no és només qüestió d’accions i reaccions, sinó una mica més complex, que ha d’estructurar-se a partir del concepte d’intercanvi.
“La comunicació com a sistema no es pot doncs concebre’s segons el model elemental de l’acció i la reacció, per molt complex que sigui el seu enunciat. Mentre que sistema, cal comprendre’l al nivell d’un intercanvi”.
Birdwhistell, 1959, pàg. 104.
Els axiomes de la comunicació confirmen el model relacional, que emmarca tota la reflexió sobre els fenòmens comunicatius realitzada des de l’escola de Palo Alto. L’objecte d’estudi en una situació comunicativa es basa no tant en les persones que hi estan implicades, sinó en la relació que es produeix en aquest procés comunicatiu.
El procés de la comunicació
La comunicació es compon de l’emissió d’una informació o missatge (per part d’una persona emissora) i una reacció o resposta donada per qui rep aquesta informació (persona receptora).
La comunicació és l’acció de compartir, de donar una part del que es té perquè una altra persona o persones en gaudeixin. És a dir, la comunicació és allò que el receptor entén, mentre que la informació és només un conjunt organitzat de dades processades que constitueixen un missatge.
El mot comunicació prové del terme llatí communnicare, que vol dir ‘compartir’.
La comunicació és un procés mitjançant el qual una persona envia un missatge en codi, i un descodificador que escolta, analitza i després formula una resposta.
El procés interactiu de la comunicació té com a objectiu específic produir una resposta o comunicació de tornada o feedback, perquè davant qualsevol comportament que tingui per objecte suscitar una resposta o comportament específic per part d’una persona o grup determinat, podem determinar que ens trobem davant un procés de comunicació (vegeu la figura).
Elements del procés de comunicació
En tot procés de comunicació se solen distingir els següents elements (vegeu la figura):
- Emissor/codificador és la persona que s’encarrega de posar en codi el missatge i l’emet (verbal o no verbal). Pot ser una persona o un grup de persones.
- Missatge, idees, propòsits i intencions que es volen transmetre, en un codi o conjunt sistemàtic de signes.
- Canal. És el mitjà o conducte per on es transporta el missatge.
- Codi. És el conjunt organitzat de senyals arbitraris que formen el llenguatge mitjançant el qual ens comuniquem.
- Receptor/descodificador. És la persona o persones que reben el missatge i el descodifiquen, tradueixen les paraules idees o sentiments de l’emissor.
- Context. És la situació en la qual té lloc la comunicació.
- Soroll. És una barrera que constitueix un element pertorbador que interfereix durant el procés de comunicació. Durant aquest procés, ha d’evitar-se enviar un missatge en el moment de produir-se bullícia, una detonació o un so estrident perquè, encara que ens esforcem a cridar, el missatge no produirà la resposta apropiada.
- Retroalimentació. L’emissor ha de tenir constància que el receptor ha rebut la informació que li ha estat emesa.
Canal en la comunicació oral i en l'escrita
En la comunicació escrita el canal amb el qual es transmet la informació serà molt diferent del que es fa servir en la comunicació oral. En la comunicació escrita, el canal podria ser un tauler d’anuncis. En la comunicació oral, el canal podria ser la veu.
Actualment, des de la perspectiva de la neurocomunicació, s’afegeix un element fonamental en aquesta llista tradicional d’elements de comunicació: l’atenció. És ella qui pot garantir la recepció del missatge en captar i atreure el receptor. Quan el receptor presta l’atenció deguda, l’interessa el contingut del missatge, vol entendre’l i assimilar-lo per actuar en conseqüència.
Etapes del procés de comunicació
En el procés de comunicació podem distingir les següents etapes:
- Configuració de la idea. En aquesta etapa l’emissor elaborarà la idea que vol transmetre, per això ha de saber quin és l’objectiu que pretén amb la transmissió del missatge, i sobretot tenir en compte a qui anirà dirigit el missatge que pretén emetre.
- Codificació. Una vegada que l’emissor té clar quin tipus de comunicació pretén transmetre, triarà el codi més adequat i que s’adapti tant al missatge com al receptor al qual vagi dirigida la informació.
- Emissió del missatge. Una vegada s’ha elaborat el missatge, aquest haurà de transmetre’s. L’emissor triarà el canal adequat per difondre’l i depenent de que tipus d’interlocutor sigui el receptor, l’elecció tindrà una importància significativa, ja que podrien originar-se barreres que n’impedissin la transmissió.
- Recepció. En aquesta fase del procés el receptor rep el missatge i el descodifica.
- Descodificació. És la interpretació que el receptor fa del missatge. Si aquest procés coincideix amb la intenció de l’emissor, es pot afirmar que la comunicació ha estat eficaç.
- Retroalimentació o feedback. Aquest és l’últim procés de la comunicació, i consisteix en la resposta que el receptor fa a l’emissor perquè aquest comprovi que el seu missatge ha estat rebut i descodificat. En aquest procés l’emissor es converteix en receptor i viceversa.
Codis
Per a la codificació, l’emissor escollirà gràfics, símbols i paraules per a la transmissió d’aquesta informació.
Tipus de comunicació
A les organitzacions es donen diferents nivells de comunicació, tant en les seves relacions internes com externes, per la qual cosa podem diferenciar entre comunicació interna i comunicació externa.
La comunicació interna és aquella que s’origina entre els diferents membres de l’empresa, de qualsevol nivell jeràrquic, dintre de l’organització. És la base de l’èxit de qualsevol companyia.
La comunicació interna persegueix que tots els membres de l’empresa sàpiguen perquè fan el seu treball i, en conseqüència, perquè ho fan d’una manera determinada.
En la comunicació externa hem de considerar l’organització com a receptora i emissora d’informació, cosa que dóna lloc a un intercanvi entre organitzacions i els seus entorns. L’activitat pròpia d’aquesta comunicació és l’enviament d’informació de l’empresa al seu entorn, així com la recerca d’informació per a la mateixa organització.
La comunicació externa és inevitable perquè una organització no està mai aïllada, sinó que funciona en un camp organitzacional i ha de coordinar les seves activitats amb altres entitats, altres empreses, institucions públiques, clients, proveïdors, grups d’interès, etc.
Estructura de la comunicació (horitzontal i vertical)
La comunicació és la columna vertebral de l’organització i ens assenyala les línies legítimes en els canals interns oficials que transporten els missatges que informen els membres d’objectius, tasques, activitats, i problemes de l’empresa. Per tant, a l’estructura organitzacional podem distingir entre la comunicació horitzontal i la comunicació vertical (vegeu la figura).
La comunicació horitzontal es dóna entre persones de la mateixa categoria, per la qual cosa en aquest tipus de comunicació hi ha un procés d’intercanvi d’igual a igual. Les organitzacions han de tenir present aquest tipus de comunicació entre persones d’un mateix nivell jeràrquic, ja que així s’evita la rivalitat i es fomenta la col·laboració.
Una bona entesa en aquest nivell permet el funcionament d’equips de treball eficaços. Un estil de direcció participatiu és un factor d’estímul per a aquest tipus de comunicació, ja que afavoreix la coordinació de diferents activitats i el coneixement dels projectes que es desenvolupen, genera un bon clima laboral i facilita la dissolució de remors.
En la comunicació vertical podem distingir entre comunicació descendent i comunicació ascendent (vegeu la figura).
La comunicació descendent tendeix a ser considerada la forma natural de comunicació, fonamentalment pel caràcter piramidal de les organitzacions.
La comunicació descendent és la informació que circula de nivells jeràrquics més elevats a nivells inferiors. És considerada com la més important en el sistema d’informació de les organitzacions. Aquest tipus de comunicació permet mantenir informats els membres d’una organització de tots aquells aspectes necessaris per a un bon funcionament. Proporciona a les persones informació sobre el que han de fer, el com i què s’espera d’ells.
Canals de comunicació descendent
Els canals de comunicació més utilitzats en la comunicació descendent solen ser les cartes, reunions, telèfon, correus electrònics, manuals, guies, etc.
En la comunicació descendent es transmet informació de diversos tipus; per exemple:
- Ordres sobre les tasques.
- Explicacions del perquè es pren una determinada decisió.
- Informació sobre procediments.
- Instruccions que emanen d’un cap i que indiquen la manera d’executar-les.
La comunicació ascendent permet als nivells jeràrquics superiors conèixer què funciona i què no, així com percebre la magnitud dels problemes. Permet mantenir contacte directe amb els col·laboradors, conèixer les seves opinions i les necessitats de les persones que treballen a l’organització. És una eina molt necessària per a la presa de decisions.
La comunicació ascendent sol anar acompanyada de multitud de petites dificultats que la fan pràcticament inexistent si la seva forma no està clarament prevista.
La comunicació ascendent és útil per potenciar el coneixement i s’utilitza per comprovar si el receptor ha entès el que se li ha comunicat. Una altra funció que compleix aquest tipus d’informació és la de realimentar, sobretot, processos de valoració que permetin corregir sistemes o mètodes de treball. Suggereix línies d’actuació a la direcció i potencia la participació.
La comunicació ascendent promou...
… la participació i l’aportació d’idees. Genera un acostament cap als directius, el que crea condicions perquè les decisions siguin millor compreses per les persones de la base.
Comunicació formal i informal
En totes les empreses hi ha dues maneres de comunicar-se en funció de si aquesta comunicació està dissenyada conscientment i deliberadament per aconseguir un fi per les vies formals, o si ha sorgit espontàniament de les relacions socials que es donen en un conjunt de persones. Aquesta doble comunicació és la comunicació formal i la comunicació informal (vegeu la figura).
La comunicació formal és aquella que circula pels canals establerts per la mateixa organització i defineix la manera en què cada membre de l’organització ha de comportar-se per confirmar el tipus de relació que han de mantenir els integrants de l’empresa. En aquest tipus de comunicació s’ha de tenir en compte la jerarquia organitzativa.
Funcions de la comunicació formal
Podem establir que la comunicació formal compleix dues funcions principals en l’organització: primer, permetre la presa de decisions; i segon, motivar.
La comunicació formal compleix dos objectius principals: d’una banda, la presa de decisions dels seus membres i d’una altra, la motivació dels individus de la mateixa organització.
Per garantir aquests objectius, les organitzacions creen estructures que facilitin la transmissió de la informació. Perquè la informació sigui adequadament transmesa, és necessari que existeixi un flux de comunicació que ho permeti. Aquest flux de comunicació ha de transmetre la informació de manera exacta, veraç, sense errors i ràpida amb l’objectiu de prendre les decisions oportunes.
El flux de comunicació adequat és aquell que ofereix:
- Una estructura de comunicació que no l’entorpeixi.
- Sistemes de comunicació capaços de rebre i transmetre la comunicació necessària en qualsevol situació.
- Els canals que ha de seguir la comunicació han de ser els adequats.
Podem definir la comunicació informal com aquella que es dóna al marge dels canals oficials. Aquest tipus de comunicació té tanta importància com la comunicació formal, i es caracteritza perquè sorgeix de manera espontània entre els diferents membres de l’organització a partir de les relacions de simpatia, que donen lloc a una interrelació personal de naturalesa afectiva i se serveix dels canals formals de comunicació.
Els tipus de relacions entre els membres dins l’àmbit laboral originen la comunicació informal en funció de:
- La permanència al mateix lloc de treball.
- La igualtat de posició jeràrquica.
- Les posicions d’igual prestigi.
- Els coneixements o interessos comuns fora de l’empresa.
- Les possibles relacions familiars entre les persones treballadores.
Pels canals informals també circula informació relacionada amb el treball, cosa que fa que s’agilitzin els tràmits i evita la burocràcia dels canals formals.
Els canals informals distorsionen molt menys la informació, ja que hi ha moltes més possibilitats de retroalimentació. L’existència de grups informals es considera positiva, ja que a l’organització formal tendeixen a sorgir errors i són necessaris aquestes canals menys rígids per poder solucionar les imperfeccions.
Rumor
El rumor és com una manifestació patològica en la difusió de la informació ja que genera informacions vagues i confuses de fonts no identificades que una sèrie de persones han fet córrer, aportant les seves pròpies interpretacions.
De vegades, però, dins els canals de comunicació informal circulen informacions sense evidències objectives contrastades sobre temes laborals que són fonament dels rumors. Aquests gairebé sempre són negatius per al funcionament de l’organització, ja que fan néixer confusions i incerteses; tot sovint són la base d’un mal clima laboral.
Comunicació verbal i comunicació no verbal
La facilitat d’expressar-nos en el llenguatge verbal i no verbal és important, però en transmetre les nostres idees, missatges o codis, ha de procurar-se que es donin les condicions necessàries perquè aquest missatge arribi amb claredat i nitidesa a l’interlocutor, lector o descodificador (vegeu la figura).
La comunicació escrita i la comunicació oral són els dos tipus de comunicació verbal que les persones utilitzen de forma conscient. Cadascun d’aquests tipus s’ha d’adaptar a cada situació concreta de la comunicació i l’objectiu final és que el missatge sigui comprès pel destinatari.
La comunicació escrita
La comunicació escrita consisteix a transmetre un missatge per mitjà de codis escrits, cosa que implica que a aquest tipus de comunicació no se’l pot considerar com una comunicació immediata o directa.
En el llenguatge escrit convé posar èmfasi a utilitzar correctament les normes de redacció i ortografia, per proporcionar al receptor un missatge directe, clar i comprensible, evitar que es distorsioni, que no s’interpreti correctament el que volem transmetre, de tal manera que no existeixin divergències entre el que es vol comunicar i el que realment es transmet.
Per aconseguir una comunicació escrita correcta s’han de desenvolupar habilitats i adquirir competències lingüístiques, ja que en elaborar un escrit s’ha de tenir en compte una sèrie de normes, com poden ser:
- Respectar les normes ortogràfiques i fer un ús correcte dels signes de puntuació.
- Evitar termes equívocs o imprecisos. Hem d’adaptar l’escrit al receptor.
- Procurar expressar el màxim d’idees amb el mínim de paraules. Hem de procurar ser breus.
- Utilitzar un llenguatge clar, senzill i cortès, atenint-nos al que volem comunicar.
A les organitzacions, la comunicació escrita pot adoptar diverses formes. De vegades depenent del tipus d’informació que es vulgui transmetre s’haurà d’optar per un o altre document. Per redactar els seus escrits, tant per a la comunicació interna com externa, l’empresa podrà utilitzar els següents tipus de comunicació escrita, entre d’altres:
- Tauler d’anuncis. El tauler d’anuncis s’utilitza en la comunicació interna de l’empresa per fer arribar un missatge a un gran nombre de persones. Aquest mitjà representa una despesa mínima per a l’empresa, però només és efectiu si els destinataris volen rebre’l. Les comunicacions que s’enviïn a través d’aquest mitjà han de ser breus.
-

- Cartell de seguretat per a la prevenció d'accidents (ICSSL).
- Cartell de seguretat. Quan el cartell de seguretat està integrat dintre d’una campanya de seguretat és un document visual complementari i molt formatiu. És un mitjà de comunicació dirigit en general als integrants de l’organització i ha de ser col·locat en llocs on la seva informació pugui ser vista amb facilitat.
En el cartell de seguretat se solen recordar les regles o els comportaments que s’han de seguir per observar les mesures de seguretat i higiene en el treball. De vegades es dirigeix a un grup determinat i amb unes característiques específiques dintre de l’organització.
- Carta. La carta sol ser un tipus de comunicació habitual a les organitzacions, ja que queda constància de la relació que aquesta manté amb les altres organitzacions, així com amb els particulars. Sol ser el mitjà més eficaç de comunicació. Entre els diferents tipus de cartes ens trobem amb la carta comercial, personal, oficial, circulars, cartes de sol·licitud, etc.
Tipus de cartes o correus comercials
Alguns exemples són: cartes comercials, cartes de comanda, cartes d’ofertes, cartes de reclamació, cartes circulars…
- Informe. L’informe és la comunicació escrita dels esdeveniments tant externs com interns que s’han produït en una organització; el seu objectiu és el d’informar i descriure uns fets o esdeveniments de manera clara i en un ordre lògic. L’estructura d’un informe pot ser d’exposició, de valoració i de resolució.
- Acta de reunió. És un document de treball que constitueix una constatació oficial i per escrit del que ha succeït en una reunió. Hi consten les dades de la reunió (ordre, data, hora, lloc), dades dels assistents, ordre del dia, desenvolupament de la sessió, acords i signatures del secretari i del convocant de la reunió.
Tipus d'informes
Alguns exemples són: informes de mercat, informes personals, informes comercials…
- Instància. A pesar de tractar-se d’un document privat, en ocasions l’empresa utilitza aquest document per dirigir-se a un organisme oficial, ja que és el tipus d’escrit que es fa servir per relacionar-se amb l’administració pública. La instància és un document en el qual es formula una petició a un organisme o entitat pública.
- Fullets. Document que pretén persuadir el lector sobre un assumpte o producte. L’utilitzen les organitzacions com a mitjà de publicitat.
- Notes tècniques de prevenció (NTP). Aquest tipus de mitjà de difusió d’informació l’utilitzen les empreses per donar informació sobre la utilització de materials o equips tècnics de la mateixa organització (vegeu la figura). Les NTP estan promulgades per l’Institut Nacional de Seguretat i Salut en el Treball (INSST).
Les instàncies i els certificats són documents privats.
La comunicació oral
En la comunicació oral fem servir el llenguatge per comunicar-nos. A l’empresa es fa servir aquest tipus de comunicació per organitzar tasques, per fer intervencions en les reunions de treball, etc., tot això sense oblidar que la comunicació és una activitat essencial de l’ésser humà; per tant, la comunicació oral és de vital importància. Aquesta comunicació és eficaç si l’escolten les persones a les quals va dirigida.
En el llenguatge oral, s’han de practicar les normes del bon comunicador i del bon oïdor perquè la comunicació sigui veritablement profitosa i efectiva.
En la societat actual es valora la capacitat per comunicar: saber comunicar-se oralment és una necessitat que cada dia és més palesa. Però, què entenem per saber comunicar oralment? Es pot dir que algunes regles per a l’ús correcte de la comunicació oral són:
- Parlar en to adequat, vocalitzant, amb precisió, brevetat i sense retòrica.
- Saber fer una síntesi d’un tema qualsevol.
- Mirar la cara de l’oïdor.
- Evitar crits i falques.
- Ser coherent i precís.
- Saber transmetre una imatge de seguretat.
Hi ha quatre preguntes bàsiques que s’han de tenir en compte en la comunicació, a l’hora d’elaborar un missatge oral:
L’important no és el que dic jo, sinó el que entén l’altre.
- Per què? Amb quin objectiu.
- A qui? Quin públic.
- Què? El guió.
- Com? Quins mitjans utilitzarem.
La comunicació no verbal
El llenguatge corporal és essencial en la comunicació: en transmetre un missatge es transmet amb tot el cos, amb la mirada, amb les mans, amb la postura, amb la distància, amb l’aparença, i amb la forma de vestir.
La comunicació no verbal és la que serveix de reforç al missatge. Moltes vegades és més important com es comunica que el que s’està dient. Molt sovint la comunicació no verbal és involuntària i difícil de controlar; és per això que es considera que s’ofereix molta informació amb aquest tipus de comunicació.
La comunicació no verbal actua donant suport a la comunicació verbal, de vegades substitueix el llenguatge, i té com a inconvenient que pot revelar sentiments que no es pretenen comunicar. Bastants dels seus elements són innats, que de vegades poden controlar-se, però d’altres són inconscients, assimilats culturalment.
Aquest tipus de comunicació interactua amb la comunicació verbal, ja que:
- Repeteix missatges verbals.
- Emfatitza la comunicació verbal.
- Afegeix una mica més.
- Pot contradir-la.
- Pot substituir-la
La neurocomunicació, una altra forma d'entendre la comunicació
Fins fa poc, la comunicació es definia com un procés mitjançant el qual una persona enviava un missatge informatiu codificat, i una altra persona el rebia, el descodificava i emetia una resposta. Però arrel de la irrupció i desenvolupament de la neurociència, s’afegeix un element destacat a la comprensió del procés comunicatiu que porta a repensar-lo: l’atenció. Neix així la neurocomunicació.
La neurocomunicació és l’aplicació de la neurociència al coneixement dels processos i mecanismes de la comunicació humana i el seu objectiu és aconseguir millorar la comunicació perquè la transmissió d’informació sigui més efectiva.
La neurociència
La neurociència és l’estudi de l’estructura, funció, desenvolupament, química, farmacologia i patologia del sistema nerviós, l’òrgan principal del qual és el cervell.
La informació que es transmet durant la comunicació és un element cognitiu racional significatiu, però l’atenció és determinant perquè la comunicació tingui èxit i el contingut del missatge arribi a impactar l’oient, emocionar-lo i moure’l, que li provoqui una actuació determinada.
Atenció
L’atenció és el procés cognitiu que permet seleccionar estímuls (allò que mou a actuar o fer alguna cosa) i orientar-nos cap als més rellevants per a la nostra percepció com a oients; així els processem i podem respondre en conseqüència.
La informació –contingut racional– del missatge és important, però l’atenció –contingut emocional– és determinant per a una comunicació eficaç.
La neurociència distingeix “tres parts” dintre del cervell; el que es coneix com a model triúnic: el cervell nou o còrtex, que processa la part racional de la informació; el cervell mitjà o límbic, que processa les emocions, i el cervell primitiu o reptilià, centrat a l’amígdala, que processa el comportament instintiu (vegeu la figura). Doncs bé, els estudis científics han demostrat que la major part de les nostres decisions són preses irracionalment, des de l’instint i les emocions.
Per això, la neurocomunicació es fixa en l’aspecte del discurs que permet connectar amb el cervell de l’oient durant la comunicació: la persuasió emocional. La comunicació persuasiva no és quelcom èticament negatiu, sinó que és la comunicació que es presenta als receptors de la forma més adequada perquè aquests facin allò que s’indica a la comunicació. Així, una comunicació persuasiva estalvia temps en tant que arriba més ràpidament el missatge i els receptors poden portar a terme l’actuació corresponent.
Per poder comunicar de forma persuasiva, des de l’òptica de la neurocomunicació, cal fer un discurs posant èmfasi en connectar amb les parts del cervell més emocionals i primitives dels oients o receptors del missatge a través dels següents sis elements essencials:
- Centrar-se en l’interlocutor, abandonar la primera persona verbal (per exemple, faré, aconseguirem, disposo, veurem…) i usar més la segona (per exemple, faràs, aconseguireu, disposes, veureu…)
- Usar conceptes concisos, contrastats i de fàcil comprensió per al receptor.
- Proporcionar detalls i dades tangibles i demostrables per donar credibilitat al missatge.
- Fer descripcions visuals i/o complementar la informació amb recursos audiovisuals que afectin, impactin i despertin l’interès del receptor.
- Cridar l’atenció de l’oient de forma recurrent i emocionar-lo a través de recursos verbals d’oratòria com citar autors destacats en el context i no verbals de gestualitat i expressió facial. També és pot despertar l’interès narrant anècdotes versemblants; si pot ser amb un toc d’humor, millor.
La clau de la persuasió comunicativa és centrar-se en allò que és causa i fonament del discurs, el que commou, motiva i emociona l’oient.
L'actitud marca la diferència
Victor Küppers és un formador i conferenciant, llicenciat en Administració i Direcció d’Empreses i doctor en Humanitats i practica clarament aquest estil de comunicació persuasiu, basat en la neurocomunicació. En les seves formacions i conferències comparteix la seva recepta de vida expressada en la fórmula matemàtica següent:
On:
- “V”: valor
- “c”: coneixements
- “h”: habilitats
- “a”: actitud
Aquesta fórmula matemàtica significa que els coneixements i les habilitats són valuosos però l’actitud multiplica; és el que marca la diferència en qualsevol persona, en l’exercici de la seva professió i en la seva vida quotidiana.
Val la pena escoltar-lo en el vídeo “45 minutos geniales de motivación”. Per saber-ne més, també podeu consultar el seu web: www.kuppers.com.
Les barreres de la comunicació
Comunicar-se és un procés extremament complicat i ple de dificultats. Per superar les dificultats pròpies del llenguatge es posen en funcionament diferents elements auxiliars, com ara l’atenció del que escolta, l’entonació, els gestos, les explicacions gràfiques, les actituds, etc. No obstant això, sempre poden aparèixer barreres que impedeixin la comunicació o que facin que aquesta es produeixi de manera errònia.
Entenem per barreres imposades a la comunicació tots aquells factors que la impedeixen, deformant el missatge o obstaculitzant el procés general de la comunicació.
Es produeix una barrera en la comunicació quan no s’aconsegueix el seu objectiu. Aquestes barreres poden donar-se quan en el moment d’emetre el missatge, apareixen un variat nombre de dificultats que interfereixen en el procés de comprensió de la informació que s’està transmetent.
Les principals barreres de comunicació solen ser les semàntiques, les personals i les físiques (vegeu la figura).
La barrera semàntica es refereix al significat de les paraules orals o escrites. Quan no precisem el seu sentit, es presten a diferents interpretacions i així el receptor no entén el que va dir l’emissor, sinó el que el seu context cultural li indica.
-

- La "infoxicació" seria l'excés d'informació al qual estem sotmesos en la societat actual i que ens provoca una incapacitat per comprendre-la i assimilar-la per poder prendre una decisió o bé elaborar una opinió crítica sobre algun tema determinat.
Les barreres semàntiques es donen també quan manca un codi comú entre emissor i receptor per desconeixement o bé per un mal ús. Alguns exemples són, entre d’altres: termes ambigus, sobreabundància de tecnicismes, redundància supèrflua, repetició d’accions rutinàries, excés d’informació i sobrecàrrega.
Hi ha molts factors que impedeixen acceptar o comprendre una idea; algunes d’aquestes barreres personals són:
- No tenir en compte el punt de vista dels altres.
- Sospita o aversió.
- Preocupació o emocions alienes al treball.
- Timidesa.
- Explicacions insuficients.
- Sobrevaloració de si mateix.
Dins de les barreres personals distingirem les psicològiques i les pròpies d’impediments físics personals. Algunes de les causes que contribueixen a formar barreres psicològiques són:
Les barreres personals influeixen en la persona que escolta perquè accepti o rebutgi les idees que li han estat comunicades.
- Alt estatus
- Poder per acomiadar
- Ús de sarcasme
- Actitud dèspota
- Ús de coneixements precisos i detallats
- Facilitat en l’ús del llenguatge
- Maneres massa formals
- Aparença física imponent
- Interrompre els altres quan parlen
Pel que fa a les barreres fisiològiques, direm que aquests tipus de barreres personals són les que impedeixen emetre o rebre amb claredat i precisió un missatge, a causa de deficiències fisiològiques de l’emissor o receptor. Aquestes alteracions poden afectar qualsevol dels sentits.
La distància i l’excés de soroll que hi ha a l’ambient, així com les interferències, la il·luminació, la temperatura ambiental, distraccions visuals i combinació d’altres veus quan parlem són diferents exemples de barreres físiques que dificulten la comunicació i que hem de prendre en consideració en comunicar-nos, a fi d’eliminar-les per aconseguir una comunicació eficaç. Tanmateix, s’ha de tenir en compte el factor temps: no sempre és adequat el moment triat per comunicar una cosa o bé no s’usa prou temps per a fer-ho.
Xarxes de comunicació
Les xarxes de la comunicació determinen els canals pels quals flueix la informació a les organitzacions. Aquests canals poden ser formals i informals, i cadascun té un ús específic dintre de l’organització.
Les xarxes de comunicació formals són generalment verticals, seguint la cadena d’autoritat. Les principals xarxes de comunicació formal són cinc:
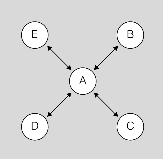
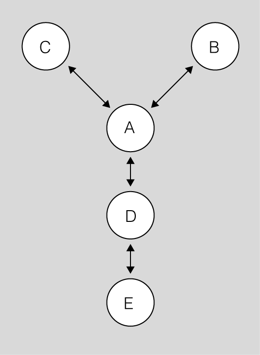
- Xarxa en cadena. La cadena segueix rígidament la cadena formal de comandament (figura). S’utilitza si la precisió de les dades és el més important. La comunicació s’estableix amb el membre més pròxim de l’organització. En aquest tipus de xarxa cap membre està totalment aïllat de la informació.
- Xarxa en estrella. La xarxa en estrella es basa en un líder com un conductor central per a totes les comunicacions del grup (figura). Facilita el sorgiment dels líders, és ràpida i d’alta precisió; només la persona que ocupa la posició central coordina les activitats i ocupa un lloc privilegiat.
- Xarxa en Y. La xarxa en Y combina la xarxa en cadena i la xarxa en estrella. Provoca que els membres més llunyans a la xarxa es puguin sentir frustrats (figura).
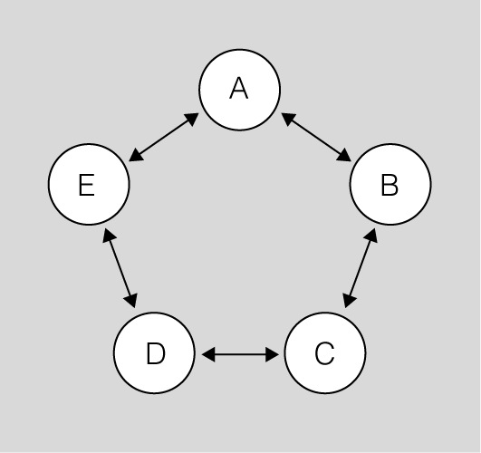
- Xarxa en cercle. Els processos comunicatius s’expressen millor de manera circular, ja que és un procés d’anada i tornada en el qual desapareix en bona part la distinció entre emissor i receptor. De fet, la comunicació de tornada sempre existeix, ja que no hi ha comunicació si el receptor no se sent realment afectat pel missatge.
La comunicació de xarxa en cercle circula d’una persona a una altra i cap no en queda exclosa (figura); així mateix, dificulta l’establiment de líders i jerarquies entre els seus membres.
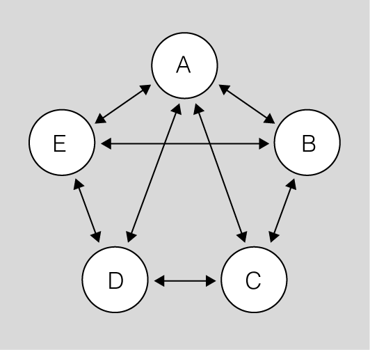
- Xarxa en diverses direccions. En el cas de la xarxa en diverses adreces, tota la xarxa del canal permet que tots els membres del grup es comuniquin activament l’un amb l’altre i és més adequada si es busca una satisfacció més gran (figura). La seva precisió és moderada i és poc probable que sorgeixin líders.
Per la seva banda, les xarxes de comunicació informals no són rígides en la seva direcció. Poden adoptar qualsevol direcció i saltar nivells d’autoritat. A més a més, són positives ja que satisfan necessitats socials dels membres interns de l’organització. No obstant això, poden ser perjudicials quan es generen remors.
Hi pot haver tantes xarxes de comunicació informal com fluxos de comunicació s’originin en una organització (figura).
La comunicació eficaç a l'empresa
No s’entenen les relacions humanes sense comunicació i, especialment, aquesta pren rellevància dins l’empresa, on es generen multitud de situacions comunicatives formals i informals durant la jornada laboral. Sens dubte, la comunicació influeix d’una manera decisòria i definitiva en el clima laboral i, de retruc, en la productivitat de l’empresa; a més, és essencial per a la seguretat i la salut de totes les persones que hi treballen. Així doncs, la direcció d’una empresa i el seu equip humà han de treballar per aconseguir una comunicació eficaç a tots nivells i, especialment en un àmbit tan sensible com el de la cultura preventiva de l’organització.
Clima laboral
És el medi ambient físic i humà en el qual es desenvolupa la feina; inclou la satisfacció del personal i la forma de relacionar-se entre si.
La comunicació és un vincle que manté unides les organitzacions. Si la comunicació no existeix, desapareixen.
Els beneficis per a les empreses són diversos; millorar la capacitat de comunicació és el primer pas per aconseguir:
- L’eficiència d’una empresa a qualsevol àrea i nivell professional.
- Un bon clima laboral, basat en relacions interpersonals positives, per facilitar la cooperació i coordinació de les persones que treballen a l’empresa.
- Èxit en les formacions, les reunions, la participació en congressos i fires professionals, etc.
Com millorar la comunicació interpersonal?
Les habilitats comunicatives i l’actitud de l’emissor són un factor molt important. Un individu competent en l’acompliment de les seves relacions interpersonals disposa d’uns recursos personals que li permeten utilitzar i manejar de manera encertada i efectiva les seves habilitats de comunicació, amb independència dels diferents contextos socials en els quals es desenvolupa.
La comunicació interpersonal pot ser considerada com el procés d’intercanvis de missatges entre dues o més persones, amb la finalitat d’arribar a determinats objectius. Aquesta comunicació té un caràcter interactiu i intencional, per això en qualsevol relació interpersonal la comunicació flueix adequadament i es converteix en una via que potencia el desenvolupament, el benestar emocional i social dels implicats i es crea un clima de distensió.
D’altra banda, una comunicació interpersonal efectiva requereix missatges clars, coherents, directes i precisos. Quan aquests requisits no es compleixen, els missatges resulten obstructius de la comunicació. Per això és interessant millorar les habilitats comunicatives interpersonals, procurant:
- Ser assertius
- Escoltar activament
- Practicar la retroalimentació
Ser assertius
L’assertivitat és una habilitat que ha demostrat la seva importància per la seva implicació en la millora de la qualitat de la comunicació de les persones de qualsevol organització a tots els nivells, ja que evita conflictes i facilita la consecució dels objectius.
Les persones amb un estil comunicatiu assertiu mantenen relacions positives amb la resta de persones, ja que quan estableixen comunicacions no cerquen guanyar o perdre sinó que persegueixen arribar a acords dins una comunicació fluida.
Podem definir l’assertivitat com aquella habilitat personal que ens permet expressar pensaments, sentiments i opinions, de la manera adequada i sense desconsiderar ni negar els drets dels altres.
L’assertivitat representa expressar sentiments, desitjos positius i negatius d’una manera eficaç, sense negar ni menysprear els drets dels altres. L’assertivitat permet discriminar entre l’agressió i la passivitat i per això no implica ni passivitat ni agressivitat.
Les persones amb un estil comunicatiu agressiu acostumen a generar relacions conflictives, ja que sempre viuen les comunicacions com un repte constant per imposar als altres els seus propis drets i interessos, fins i tot envaint l’espai de l’altre.
La conducta agressiva es caracteritza per estar orientada a la consecució dels propis objectius, on el subjecte només té respecte cap a si mateix.
Arribar a assolir els seus objectius produeix satisfacció a la persona agressiva; no obstant això, atacant els drets dels altres es lesiona la seva autoestima, cosa que condueix a un malestar de l’ambient i en conseqüència a un augment de la tensió en la relació.
Les persones amb un estil comunicatiu passiu acostumen a passar inadvertides, perquè són persones callades i submises. Aquesta forma de relacionar-se freqüentment provoca ressentiment en pensaments i creences i, a la llarga, causa problemes a la pròpia persona i al seu voltant, en la relació amb els altres.
La conducta passiva sol caracteritzar-se perquè l’individu és capaç de transgredir els drets propis en no ser capaç d’expressar les seves opinions, o amb una manifesta falta d’autoestima, genera que els altres no tinguin en compte l’individu.
A banda d’aquests dos estils comunicatius, també és reconeixible l’estil comunicatiu passiu-agressiu. La persona que l’utilitza viu les comunicacions de forma submisa però generant grans dosis de ressentiment envers els altres i fa servir com a eina principal el xantatge emocional i la manipulació.
La conducta passiva-agressiva, en canvi, sol caracteritza-se perquè el comportament de l’individu davant una situació que considera desagradable o injustificada és aguantar-se i acceptar la situació encara que no li agradi; però intentant molestar tant com sigui possible la persona o persones davant les quals ha hagut de claudicar, sense que aquestes puguin sospitar que les raons de les molèsties són el disgust o incomoditat de la persona, actuant agressivament d’una manera encoberta.
Exemples de conducta assertiva, agressiva i passiva-agressiva
- Conducta assertiva: el comportament de l’individu davant una situació que considera desagradable o injustificada és expressar les seves opinions mostrant-se considerat, defensant la seva posició amb energia però sense agressivitat, i proposar alternatives que satisfacin tots els membres de la relació.
- Conducta agressiva: el comportament d’una persona davant una situació que considera desagradable o injustificada és una reacció agressiva o violenta amb el seu interlocutor. Aquest tipus de conducta agressiva utilitza, entre altres mètodes, la coacció, la manipulació, el xantatge, etc.
- Conducta passiva-agressiva: davant una situació que considera desagradable o injustificada, el comportament és aguantar-se i acceptar la situació encara que no li agradi, assentint o disculpant-se.
En aquelles situacions en les quals no sabem com actuar, com comportar-nos, per assolir el nostre objectiu en la comunicació interpersonal, l’assertivitat ens permet realitzar el comportament comunicatiu més eficaç. Quan la interacció amb l’altre ens fa sentir incòmodes, insegurs o violents, l’assertivitat ens permet trobar la manera de comunicació que mantingui el respecte a nosaltres mateixos, sense perdre el de l’altre ja que es caracteritza per estar orientada cap a la consecució dels objectius fixats, així com pel respecte que la persona té de si mateixa i dels altres.
Escoltar activament
L’escolta activa és entendre la comunicació des del punt de vista de l’emissor, captant sensacions, sentiments i pensaments. Així es possibilita una veritable connexió amb els altres i una fluïdesa comunicativa que beneficia la consecució d’objectius comuns de l’organització empresarial.
Escoltar és molt més que escoltar un missatge; l’escolta es realitza en tres fases: escoltar, valorar el que s’escolta i interpretar-ho. Quan ho interpretem de tal manera que coincidim amb el que ens ha volgut dir realment l’altra persona, hem tingut èxit en la comunicació.
Per millorar l’escolta activa podem seguir les següents regles:
Avantatges de l'escolta activa
Els avantatges de l’escolta activa són diverses: redueix les tensions, estimula l’interlocutor a participar i a interessar-se, ajuda a resoldre problemes, etc.
- Mantenir contacte ocular amb qui parlem.
- Escoltar les idees, així com evitar la rutina d’escoltar dades.
- Dels missatges es desprenen idees que potser no són fàcils de trobar, però sempre estan subjacents al missatge.
- No s’ha d’expressar d’entrada el desacord.
- Escoltar amb interès i deixar que el nostre interlocutor s’expressi.
- És necessari fer un esforç per interessar-nos, des del principi, pel que l’altra persona vol dir-nos.
- S’ha de ser conscient que escoltar sempre comporta un esforç.
- No concloure abans d’hora, i procurar no omplir els silencis.
El principi bàsic de l’escolta activa és reconèixer que cada persona és única i que cal escoltar-la. S’ha de procurar que altres coses no distreguin la comunicació. El més important és la interacció amb l’altre, mostrar que es comprèn com se sent el que parla. La pràctica de la retroalimentació és sempre un component en la comunicació molt apreciable.
Practicar la retroalimentació
La retroalimentació és una eina de millora i un avantatge competitiu, ja que és excel·lent per eliminar errades i confusions dins els equips de treball. Serveix per compartir amb una o diverses persones les preocupacions, les observacions i els suggeriments que poden sorgir durant la realització de tasques quotidianes a l’àmbit laboral.
Les funcions principals de la retroalimentació consisteixen a validar la comunicació inicial, repetir el missatge fins que s’està segur que s’ha rebut correctament. S’utilitza quan hi ha sospites que hi ha hagut un soroll sintàctic, o quan hi ha risc que es produeixi un soroll semàntic que dificultarà la comprensió del missatge.
Preguntar
Per aconseguir la retroalimentació en el missatge es poden fer preguntes, amb l’objectiu d’obtenir un aclariment sobre la part del missatge que no s’ha entès.
L’efecte de tornada o la resposta del missatge (feedback) és l’efecte de la comunicació. El receptor retorna el missatge a l’emissor, i en aquest fet es converteix ell mateix en emissor. La funció de la retroalimentació en la comunicació és assegurar la finalització efectiva del procés de transmissió d’informació.
-

- Quan hi ha 'feedback' o retroalimentació, un s'expressa i l'altra li respon.
La retroalimentació hauria de ser una resposta empàtica al nostre interlocutor per indicar clarament que hem entès el punt de vista de l’altra persona, o bé que mostrem el nostre acord o desacord cap al contingut del missatge, de manera que l’emissor sap que l’hem rebut correctament. També pot ser una resposta no verbal (movent el cap, amb la mirada i moviment dels ulls, amb gestos de les mans, etc.), amb la qual podem assenyalar que hem rebut el missatge i hem actuat en conseqüència.
Com millorar les presentacions en públic?
Les habilitats comunicatives i l’actitud de l’emissor són un factor molt important en qualsevol comunicació interpersonal però encara més en les situacions en què cal fer una presentació en públic; sobretot si el públic està format per persones de la mateixa empresa on treballem, com podrien ser els membres de gerència, els comandaments intermedis, els companys i les companyes de departament o altres persones treballadores de l’organització.
Trobareu alguns exemples de bones presentacions en públic, a la secció “Annexos” del web del mòdul.
Els tècnics i les tècniques en prevenció han de fer sovint presentacions en públic, bé sigui dins una reunió d’empresa com les que realitzen els comitès de seguretat i salut o una presentació d’una campanya preventiva a la gerència, per exemple, o bé durant una sessió de formació en prevenció –una de les tasques més freqüents que han de realitzar els tècnics, tant si treballen dins un servei de prevenció propi (SPP) com si exerceixen la professió en un servei de prevenció aliè (SPA).
Hi ha diferents elements que cal tenir en compte a l’hora de parlar davant un públic –tant presencialment com virtualment–: la pròpia imatge personal, l’expressió corporal i la veu i els complements visuals que acompanyen la presentació.
La regla del bon comunicador, segons Albert Mehrabina

Albert Mehrabina, enginyer i psicòleg armeni, va destacar als anys vuitanta la importància de les emocions i els sentiments en la comunicació. I va expressar la regla del bon comunicador de la manera següent:
“Quan comuniquem emocions i sentiments, més del 90 % del missatge recau sobre la comunicació no-verbal (55 % llenguatge corporal i mirada, 38 % de volum i entonació de la veu) i només un 7 % del potencial comunicatiu recau en el discurs verbal.“
Tots els components que acompanyen el discurs verbal són essencials per transmetre eficaçment el missatge que volem comunicar. Sobretot si el contingut és de l’àmbit preventiu, ja que sovint es cerca estendre la cultura preventiva i modificar hàbits de conducta per aconseguir un major nivell de seguretat i salut a l’empresa en benefici de totes les persones que hi treballen. Aquesta modificació d’hàbits a l’hora de treballar només es produeix quan les persones estem fermament convençudes dels seus beneficis i les incorporem en la nostra forma de ser i estar al lloc de treball.
Com millorar la comunicació a l'organització?
La comunicació és fonamental per a l’organització, ja que permet arribar a acords i treballar en conjunt. Una bona comunicació enforteix la valoració d’un mateix i la presa de decisions, i promou la participació dels membres de l’empresa. Això genera una cultura organitzacional que és pròpia de cada agrupació i que la distingeix de la resta.
A l’apartat “La formació en prevenció de riscos laborals”, teniu desenvolupades les recomanacions bàsiques per comunicar amb èxit en les formacions de PRL. Aquestes recomanacions sovint també són aplicables en qualsevol altra ocasió, com reunions, congressos, fires comercials, presentació de productes i serveis…
Per millorar la comunicació de l’organització, aquesta ha de disposar d’un pla de comunicació estratègic que tingui en compte tant el públic intern (directius, comandaments intermedis, representants dels treballadors… en definitiva, tot el personal de l’organització) com l’extern (clients, proveïdors, distribuïdors, institucions públiques, administracions… En resum, la societat en general).
Un bon pla de comunicació empresarial comporta una sèrie d’avantatges incontestables a l’organització a causa de la motivació que implica que els treballadors es considerin especialment valorats i una satisfacció que aboca a un bon clima laboral que repercuteix tant en l’augment de beneficis com en el desenvolupament de les tasques productives de forma segura i saludable. Tot això es tradueix en l’obtenció de l’increment de beneficis per a l’organització.
El pla de comunicació contribueix a la imatge corporativa de l’empresa i al sentiment de pertinença al col·lectiu de persones que hi treballen. A banda que, sense cap mena de dubte, facilita la integració de la prevenció de riscos a l’empresa en reforçar la seva cultura preventiva.
Si en una organització fallés estrepitosament la comunicació, baixaria la motivació, es generaria un mal clima laboral, i ens situaríem davant d’un descens de la productivitat. Per això, la comunicació a les organitzacions és un element estratègic que determina en quin grau les persones poden coordinar el treball i així arribar als objectius empresarials. Amb un bon pla de comunicació tots els integrants d’una organització en resulten beneficiats, tant individualment com pel que fa al col·lectiu corporatiu.


















