Díodes semiconductors
Un díode és un dispositiu que permet el pas del corrent elèctric en una única direcció. De manera simplificada, la corba característica d’un díode (I-V) consta de dues regions: per sota de certa tensió es comporta com un circuit obert (no condueix), i per sobre de certa tensió es comporta com un circuit tancat amb una resistència elèctrica molt petita (pràcticament un curtcircuit). A causa d’aquest comportament, se’ls sol denominar rectificadors, ja que són dispositius capaços de convertir un corrent altern en un de continu.
El díode està constituït per una unió P-N i disposa de dos terminals: l’ànode (A) connectat a la zona P, i el càtode (K) connectat a la zona N. En la figura es pot veure un diagrama de la unió P-N i el símbol elèctric corresponent.
Zones P i zones N
Els dispositius semiconductors (díodes i altres) es basen, com el nom indica, en materials semiconductors com el silici. Per si sols són aïllants, però dopant (sobrecarregant) unes zones positivament (zones P) i unes altres negativament (zones N), en la frontera entre les zones es pot produir conducció elèctrica forçant-la mitjançant una tensió elèctrica d’unes característiques concretes.
-

- Díode polaritzat en directa
Quan es polaritza directament, l’ànode (A) es connecta al positiu de la pila i el càtode al negatiu. El díode condueix i es comporta com un curtcircuit o un interruptor tancat. La resistència que ofereix entre ànode i càtode en aquest cas és molt baixa, pràcticament nul·la.
-

- Díode polaritzat en inversa
En polarització inversa, connectem l’ànode al negatiu d’una pila i el càtode al positiu. El díode no condueix, i es comporta com un interruptor obert. La resistència entre ànode i càtode és molt elevada, pràcticament un circuit obert.
Corba característica. Zones de funcionament
Podem observar en la figura la corba característica del díode.
Distingim la zona de conducció (polarització directa) de la zona de no-conducció (polarització inversa). La tensió de llindar (Von) és de 0,7 V per al díode de silici, i de 0,3 V per al de germani. S’ha de superar aquesta tensió en la polarització directa per considerar que el díode condueix. En polarització inversa hi ha un tensió d’allau que no s’ha de superar (el díode es trenca).
Rectificació. Filtres
Per rectificació s’ha d’entendre la conversió d’un corrent altern (per exemple, que canvia de signe) en un corrent continu (per exemple, que no canvia de signe, o sigui que pot variar en el temps, no necessàriament ha de ser constant).
L’instrument utilitzat per visualitzar l’evolució temporal dels senyals s’anomena oscil·loscopi. En podeu veure un tutorial als annexos de la unitat.
Fet aquest aclariment, el principal element utilitzat en qualsevol procés de rectificació del senyal elèctric és el díode. En funció del tipus de rectificació que es vulgui, la configuració dels díodes rectificadors és variada. Bàsicament, hi ha dos tipus de rectificació:
- Rectificació de mitja ona
- Rectificació d’ona completa o doble ona
Rectificació de mitja ona
El rectificador de mitja ona és el rectificador més senzill: utilitza únicament un díode. Se’n mostren l’esquema i el senyal de sortida en la figura.
La rectificació de mitja ona consisteix a eliminar un semiperíode de la tensió aplicada a l’entrada. Quan la tensió a l’entrada del rectificador sigui positiva, la tensió de l’ànode serà més gran que la del càtode, i per tant el díode conduirà, i quan la tensió sigui negativa, la tensió a l’ànode serà més petita que la del càtode, i per tant el díode no conduirà.
Als annexos de la unitat hi trobareu un arxiu amb la simulació d’un rectificador de mitja ona.
El díode només permet que el corrent flueixi en una direcció, bloquejant la part negativa de l’ona d’entrada i permetent només la part positiva.
D’aquesta manera, quan l’ona d’entrada és positiva, el díode es polaritza directament i permet que el corrent passi a través de la càrrega, produint un senyal de sortida positiu. Quan l’ona d’entrada és negativa, el díode es polaritza inversament i bloqueja el corrent, de manera que no hi ha senyal de sortida.
El resultat és un senyal de sortida que només té la meitat de l’amplitud de l’ona d’entrada, però només amb voltatges positius. Aquest senyal de sortida es pot filtrar o utilitzar en altres circuits per a una amplada de banda més estreta o per a altres aplicacions.
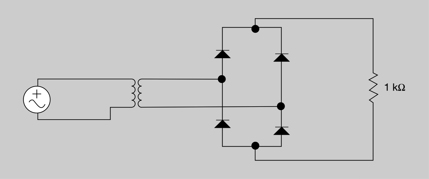
Rectificació d'ona completa o de doble ona
La majoria de fonts d’alimentació utilitzen aquest tipus de rectificador, en el qual els dos semiperíodes del senyal aplicat a l’entrada passen a tenir la mateixa polaritat, com es mostra en la figura.
El circuit més utilitzat que fa aquesta operació és l’anomenat pont de Graetz o pont de díodes, que apareix en la figura.
Als annexos de la unitat hi trobareu un arxiu amb la simulació d’un rectificador d’ona completa amb pont de díodes.
En aquest circuit condueixen dos díodes dels quatre a la vegada, en cada un dels semiperíodes del senyal de sortida. Això fa que les pèrdues siguin aproximadament de 2 volts, ja que són dos díodes polaritzats directament.
Aquest tipus de rectificador és tan comú que es venen els quatre díodes ja empaquetats en un sol component (figura).
La configuració del pont consisteix a connectar les entrades de l’ona completa als dos punts mitjans de la configuració del pont i connectar les sortides als dos punts restants. Els díodes són connectats en sèrie amb la càrrega per permetre el corrent només en una direcció.
Als annexos del web hi trobareu un arxiu amb la simulació d’un rectificador alternatiu d’ona completa amb transformador de presa mitja i solament dos díodes.
Quan l’ona d’entrada és positiva, el díode superior del pont es polaritza directament i permet que el corrent passi a través de la càrrega, produint un senyal de sortida positiu. Al mateix temps, el díode inferior es polaritza inversament i bloqueja el corrent.
Quan l’ona d’entrada és negativa, el díode inferior del pont es polaritza directament i permet que el corrent passi a través de la càrrega, produint un senyal de sortida negatiu. Al mateix temps, el díode superior es polaritza inversament i bloqueja el corrent.
En resum, la rectificació d’ona completa amb díodes utilitza dos díodes connectats en una configuració de pont per convertir un senyal d’entrada d’ona completa en un senyal de sortida que només té una polaritat, sigui positiva o negativa. Aquesta tècnica es pot fer servir en moltes aplicacions electròniques, com ara la font d’alimentació de corrent continu per a equips electrònics.
Filtres
En fonts d’alimentació, l’objectiu del filtre és reduir la tensió d’arrissament per augmentar el valor mitjà de l’ona rectificada. S’intenta aconseguir la tensió de sortida més estable i constant possible (se’n pot veure la ubicació en la figura).
El filtre que s’utilitza més en les FA consisteix a col·locar un condensador en paral·lel amb la resistència de càrrega (figura).
Als annexos de la unitat hi trobareu un arxiu amb la simulació d’un rectificador d’ona completa amb filtre C.
Tensió d'arrissament
La tensió d’arrissament és la petita fluctuació o oscil·lació que pateix el senyal continu d’una font d’alimentació.
En la figura es pot veure la tensió a la sortida del rectificador (negre) i la tensió a la sortida del filtre (blanc). D’aquesta manera se’n pot observar el funcionament.
El condensador es va carregant fins a arribar al valor màxim de l’ona de sortida del rectificador; quan la tensió cau, el condensador es va descarregant i forma la recta que s’observa, fins que l’ona rectificada torna a ser més gran que la tensió acumulada al condensador. Aquest es torna a carregar fins al valor màxim de l’ona rectificada i es repeteix el cicle.
El pendent d’aquesta recta de descàrrega del condensador serà més petit com més temps trigui a descarregar-se el condensador. Això s’aconsegueix amb una capacitat gran.
Per al filtre hi ha altres opcions més complexes, com ara filtres LC.
Díodes Zener. Característiques i aplicacions
El díode Zener té els mateixos pius que el díode rectificador, i es representa amb els símbols de la figura.
En polarització directa es comporta com un díode normal, però en polarització inversa, quan arriba a la tensió d’allau, estabilitza la seva tensió entre el càtode i l’ànode al valor de tensió de Zener (Vz). La tensió de Zener pràcticament no canvia si hi ha variacions de corrent, és a dir, es manté la Vz i el díode no es destrueix.
La principal aplicació dels díodes Zener és l’estabilització de tensió, fent servir la seva tensió de Zener a aquest efecte.
En la figura es pot veure la corba característica tensió-corrent d’un díode Zener qualsevol. Es pot observar que a la part esquerra de la gràfica (tensions negatives, o sigui, en inversa), en lloc de tenir una tensió d’allau (ruptura del díode) tenim una tensió de Zener, que en realitat varia molt poc, a la qual es queda clavat el díode quan l’assoleix.
Els paràmetres més rellevants del díode Zener són la tensió de Zener (Vz) i la potència (Pz), que en dispositius de baixa potència és de 0,4 W o 1,3 W.














